160,00 zł
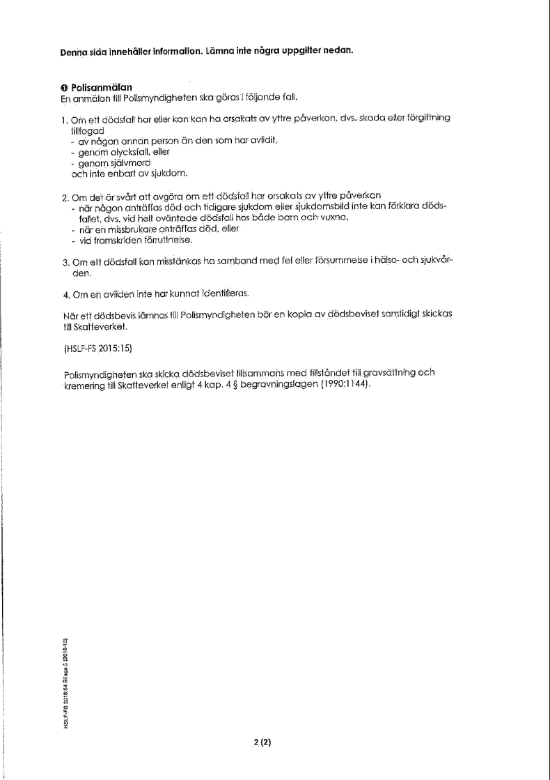
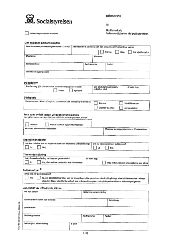
Szwedzki akt zgonu (Dödsbevis) to urzędowy dokument potwierdzający fakt zgonu osoby zarejestrowanej w Szwecji. Wystawiany jest na podstawie informacji przekazanych przez lekarza i stanowi podstawę do dokonania wpisu w ewidencji ludności oraz rozpoczęcia procedur spadkowych i pogrzebowych. Tłumaczenie przysięgłe dokumentu jest niezbędne m.in. w sprawach dziedziczenia, uzyskania zasiłku pogrzebowego czy rejestracji zgonu w Polsce.
W Linguaforum wykonamy dla Ciebie tłumaczenie przysięgłe szybko, profesjonalnie i bez wychodzenia z domu – w formie papierowej lub elektronicznej. Masz akt zgonu w innym języku? Sprawdź: Tłumaczenia aktu zgonu na inne języki.
📌 Informacja o zdjęciu dokumentu
Zdjęcie dokumentu widoczne przy tej usłudze tłumaczenia ma charakter poglądowy. Przedstawia przykładowy wzór danego dokumentu urzędowego, który może różnić się od wersji posiadanej przez klienta – zarówno pod względem formy graficznej, jak i objętości. Dokumenty urzędowe były wydawane na przestrzeni wielu lat w różnych formatach oraz na zmiennych drukach administracyjnych.
Wzory dokumentów prezentowane na stronie zostały pozyskane z ogólnodostępnych źródeł internetowych. Choć dokładamy starań, aby prezentowane zdjęcia odpowiadały aktualnym wersjom dokumentów, nie możemy zagwarantować ich pełnej zgodności z dokumentami, które Państwo nam prześlą.
W związku z powyższym zastrzegamy sobie prawo do dokonania indywidualnej wyceny tłumaczenia na podstawie faktycznie otrzymanego dokumentu.
W wielu urzędach wystarcza tłumaczenie z kopii, ale np. Urząd Stanu Cywilnego wymaga tłumaczenia z oryginału. Oferujemy dwa tryby uwierzytelnienia tłumaczenia:
Rejestracja zgonu w Polsce
Postępowania spadkowe i testamentowe
Zakończenie umów i zobowiązań osoby zmarłej
Złożenie wniosków w ZUS, bankach, sądach lub ambasadach
Przeniesienie grobu lub sprowadzenie zwłok z zagranicy
Polska:
Czy polski USC uzna tłumaczenie przysięgłe dokumentu Dödsbevis?
Tak – tłumaczenie przysięgłe aktu zgonu ze Szwecji jest akceptowane przez urzędy stanu cywilnego w Polsce i pozwala na wydanie polskiego aktu zgonu.
Czy mogę przesłać tylko skan dokumentu?
Tak – tłumaczenie może być wykonane na podstawie skanu, jeśli dokument jest kompletny i czytelny. W przypadku wymogu tłumaczenia z oryginału oferujemy również taką usługę.
Zagranica:
Jak uzyskać szwedzki akt zgonu?
Dokument wystawia Skatteverket po otrzymaniu zgłoszenia od lekarza. Można go odebrać w urzędzie lub zamówić pocztą – szczególnie jeśli jesteś krewnym osoby zmarłej.
Czy potrzebuję pełnego personbevis, jeśli mam już Dödsbevis?
To zależy od celu – w sprawach spadkowych czasem wymagane są oba dokumenty. W razie wątpliwości warto zapytać urząd, który wymaga dokumentacji.
Dajemy dożywotnią gwarancję na literówki oraz ewidentne błędy tłumacza.
Dostosowujemy treść tłumaczenia do wymagań konkretnych urzędów – o ile nie narusza to przepisów ustawy o zawodzie tłumacza przysięgłego – Dz.U. 2004 nr 273 poz. 2702.
Poniżej znajdziesz opinie naszych klientów, którzy skorzystali z usług Linguaforum:























• Szwedzkie zaświadczenie o stanie cywilnym
• Szwedzka karta pobytu
• Szwedzki paszport
• Testament lub pełnomocnictwo
• Szwedzki akt urodzenia
Szwedzki akt zgonu (Dödsbevis) to dokument wydawany przez Skatteverket – Szwedzki Urząd Skarbowy – po otrzymaniu zgłoszenia od lekarza, który stwierdził zgon. Formularz ten zawiera podstawowe informacje o zmarłej osobie oraz datę i miejsce śmierci. Dokument jest kluczowy w kontekście rejestracji zgonu, zamykania spraw urzędowych i wszczynania postępowań spadkowych.
Tłumaczenie przysięgłe szwedzkiego aktu zgonu jest wymagane przy zgłoszeniu zgonu w polskim USC, ubieganiu się o świadczenia rodzinne lub zasiłek pogrzebowy, a także w procesie prawnym dotyczącym spadku lub uregulowania majątku zmarłego.
Tłumacz przysięgły języka szwedzkiego zapewni poprawność, kompletność oraz zgodność przekładu z wymogami formalnymi obowiązującymi w Polsce.
Więcej na temat szwedzkiego urzędu skarbowego przeczytasz w naszym artykule: Inkomstdeklaration 1 Jak Rozliczyc Podatek W Szwecji
📌 Co zawiera dokument?
Imię i nazwisko osoby zmarłej
Numer personalny (personnummer)
Data i miejsce zgonu
Dane lekarza potwierdzającego zgon
Informacja o przewiezieniu zwłok
Data wystawienia dokumentu
Pieczęcie i podpisy
🏢 Informacje urzędowe:
📷 Zobacz dokument: